Starożytni filozofowie powiadali, że woda jest dla człowieka błogosławieństwem i przekleństwem. Jest niezbędna do życia na Ziemi, stanowi zarazem żywioł, przed którym człowiek musi się bronić.
Woda dla obiektów budowlanych jest czynnikiem powodującym najwięcej zagrożeń, jest wszechobecna w sąsiedztwie każdej budowli, występuje w postaci opadów deszczu, śniegu, mgły, wody gruntowej.
Zagadnienia związane z osuszaniem są skomplikowane. Wynika to przede wszystkim ze sposobu zachowania się materiałów wobec wody i wilgoci oraz przyczyn i źródeł zawilgocenia. Termin „osuszanie budynków” powinien być rozumiany jako zespół czynności technicznych i technologicznych, powodujących trwałe zmniejszenie poziomu zawilgocenia ścian (najczęściej do poziomu 3–6% wilgotności masowej), co umożliwia prowadzenie dalszych prac budowlanych lub konserwatorskich, a po ich wykonaniu zapewnia właściwą eksploatację. Na przykład wykonanie przepon w budynkach jest jedną z metod zabezpieczania przeciwwilgociowego przegród, a nie metodą, która spowoduje ich osuszenie. Zaprojektowanie tylko samej izolacji, pomimo prawidłowego jej wykonania, może, ale nie musi doprowadzić do znacznego obniżenia zawilgocenia przegród. Ściany o znacznej grubości po wykonaniu w nich blokady poziomej mogą w sposób naturalny wysychać przez wiele lat.
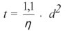
Czas wysychania naturalnego przegród w piwnicach budynków popowodziowych można określić wzorem [wg 16]:

gdzie: d – odległość przemieszczania się wilgoci w kierunku powierzchni przegrody, z której może odparować [cm]; h– prędkość wysychania przegrody w cm²/dobę, zawiera się w granicach od 0,25 do 2,5 i uzależniona jest od rodzaju przegrody i warunków wysychania.
W pomieszczeniach piwnicznych (nieogrzewanych) w budynkach wielomieszkaniowych, których zagłębienie wynosi ok. 2,5 m poniżej poziomu gruntu, przez większą część roku temperatura powietrza – w pomieszczeniach w okresie, w którym możliwe jest osuszanie – oscyluje w granicach 10–12OC. Poziom zawilgocenia ścian piwnic tych budynków przy braku lub tylko częściowo sprawnych izolacjach sięga przeciętnie 12–14% wilgotności masowej, jednak w razie intensywnych opadów deszczu (zwłaszcza gdy podniósł się poziom wód gruntowych) zawilgocenie masowe może sięgać wartości pełnego nasycenia, czyli nawet 22–24%, przy względnej wilgotności powietrza wewnątrz pomieszczeń piwnicznych w granicach 70–80%.
Zakładając pełną sprawność izolacji przeciwwilgociowych, dla warunków przedstawionych powyżej pełne naturalne wysychanie ścian do wartości 4% wilgotności masowej nastąpi po ok. 13 latach, z zaznaczeniem, że spełnienie tych warunków dotyczy niespełna połowy roku kalendarzowego – czyli oczekiwanie na pełne naturalne wysuszenie przegród w piwnicach przedłuży ten okres co najmniej o kolejnych sześć lat [16].

Fot. 1 Nagrzewnica
Metody osuszania sztucznego, takie jak na przykład osuszanie gorącym powietrzem, absorpcyjne czy kondensacyjne, są pochodnymi osuszania naturalnego, wykorzystują bowiem te same mechanizmy. Napotykają więc podobne problemy: wraz z wysychaniem powierzchni ściany występuje przesuwanie się granicy strefy wilgoci w głąb przegrody. Zjawisko to zmniejsza szybkość wysychania przegrody ze względu na wpływ oporu dyfuzyjnego warstw materiału. Dlatego metody te, w celu uniknięcia osuszania powietrza atmosferycznego i nieefektywnego zużycia energii, wymagają uzyskania pełnej szczelności osuszanych obiektów (pomieszczeń).
Osuszanie gorącym powietrzem
Podstawowymi urządzeniami są nagrzewnice elektryczne, olejowe lub gazowe, o przepływie powietrza w granicach 300–800 m3/h. Temperatura ogrzanego powietrza (na wylocie z nagrzewnicy) może dochodzić nawet do 250OC, należy jednak tak ją wyregulować, aby (uwzględniając konieczność zapewnienia niezbędnej wentylacji pomieszczenia) temperatura powietrza wewnątrz pomieszczenia nie przekraczała 35–37OC.Następuje wówczas wzmożone odparowywanie wilgoci z warstw powierzchniowych muru. Wilgoć tę w postaci pary wodnej usuwa się z pomieszczenia, stosując naturalne wietrzenie lub wentylatory mechaniczne. Podczas ogrzewania powietrza w pomieszczeniach wewnątrz muru panują niesprzyjające warunki do oddawania wilgoci, gdyż przypowierzchniowe warstwy wewnętrzne nagrzewają się szybciej do wyższej temperatury niż położone w głębi i na zewnątrz muru. Występuje więc niekorzystny gradient temperatury i ciśnienia pary wodnej, skierowany od środka na zewnątrz przegrody. W przypadku murów grubych lub murów o dużym oporze dyfuzyjnym warstwy zewnętrznej tylko część wilgoci wyparowuje z powierzchni wewnętrznej ściany do powietrza wewnątrz pomieszczeń. Duża część wilgoci transportowana jest z wewnętrznych warstw przypowierzchniowych do wnętrza muru. W wyniku stosowania tej metody często uzyskuje się tylko pozorne osuszenie warstw muru położonych przy wewnętrznej powierzchni ściany.
Po zakończeniu procesu suszenia, czyli po wyłączeniu nagrzewnic, część wilgoci przetransportowana wcześniej w głąb muru wraca na powierzchnię wewnętrzną ściany w wyniku działania sił kapilarnych i zmiany gradientu temperatury. W celu zwiększenia efektu osuszenia niektóre firmy stosujące nagrzewnice postępują w sposób następujący: powietrze ogrzewane jest do maksymalnej temperatury przez długi okres. W tym czasie następuje więc również nagrzanie murów. Po wyłączeniu nagrzewnic powietrze wewnątrz pomieszczeń schładzane jest przez intensywne wietrzenie.

Fot. 2 Niewielkie osuszacze kondensacyjne
Metody absorpcyjne
Metody absorpcyjne opierają się na założeniu, iż przez znaczne wysuszenie powietrza w zawilgoconym obiekcie mury zaczną stopniowo schnąć, oddając nadmiar wilgoci do osuszanego pomieszczenia. Zasada działania (rys.) polega więc na absorbowaniu wody z zasysanego powietrza i poprzez doprowadzenie do tzw. pasażu powietrznego utworzenie dwóch stref pracy, z których jedna polega na absorpcji wody w obracającym się filtrze, a druga – na regeneracji i aktywnym osuszeniu powietrza. W metodzie używane są osuszacze absorpcyjne, z możliwością usunięcia od kilku do ponad 1000 l wody na dobę. Nie ma limitów osuszanej powierzchni.
Filtr, obracając się średnio 10 razy na godzinę, doprowadza do trwałego procesu osuszania powietrza. Urządzenie to funkcjonuje bez komplikacji w temperaturach zarówno powyżej, jak i poniżej 0OC. Wilgotne powietrze ze strefy regeneracji zostaje chłodzone w kondensatorze, skąd mokre powietrze bezpośrednio odprowadzane jest do drenu. Następnie powietrze zostaje podgrzane, a proces regeneracji zakończony. Wytworzone suche powietrze w krótkim czasie doprowadza do stworzenia korzystnych warunków i przez to pewnego i szybkiego suszenia wybranych materiałów. Odpowiednie przemieszczanie suchego powietrza w lokalu prowadzi do równomiernego i kontrolowanego procesu suszenia (rys.).
Sposób osuszenia stosowany przy metodzie absorpcyjnej najlepsze efekty przynosi przy szczelnie zamkniętych pomieszczeniach, gdy wilgotność względna w pomieszczeniu spadnie poniżej 30%. Przy lokalnym zawilgoceniu pomieszczenia można wykonać namiot foliowy, aby osuszanie prowadzić tylko w najbliższym obszarze zawilgoconej powierzchni. Zarówno cały lokal, jak i poszczególne pomieszczenia podczas procesu suszenia mogą być używane i zamieszkiwane, obniżając dodatkowo koszty ewentualnego przestoju lub wyłączenia obiektu z działalności.

Rys. Zasada osuszania osuszacza absorpcyjnego
Metody kondensacyjne
Wilgotne powietrze z uszczelnionego uprzednio pomieszczenia wysysane jest przez wentylator i podane na parownik. Nadmiar pary wodnej znajdującej się w wilgotnym powietrzu zostaje zabrany w postaci kondensatu (wody). W metodzie tej wykorzystuje się zjawisko kondensacji pary wodnej zawartej w powietrzu w kontakcie z ciałami o temperaturze niższej niż punkt rosy. Zasadniczym elementem osuszaczy kondensacyjnych jest chłodzony skraplacz o dużej powierzchni, na który nadmuchiwane jest wilgotne powietrze z osuszanego pomieszczenia. Skraplająca się woda jest gromadzona w pojemniku, który wymaga okresowego opróżnienia. Osuszane powietrze krąży w obiegu zamkniętym. Energia zużywana przez urządzenie powoduje nieznaczny wzrost temperatury powietrza w pomieszczeniu. Osuszacze kondensacyjne działają skutecznie w szerokim zakresie temperatury powietrza, tj. od 0OC do +40OC, natomiast najkorzystniejsze ich działanie jest w temperaturach w zakresie od +20OC do +25OC. Wydajność osuszania powietrza jest tym większa, im większa jest zarówno wilgotność względna powietrza w pomieszczeniu, jak i temperatura powietrza. Najefektywniejsze działanie osuszaczy kondensacyjnych ma miejsce w zakresie 30–90% wilgotności względnej powietrza w pomieszczeniu. Kłopoty z efektami pracy osuszaczy kondensacyjnych pojawiają się przy niższych wilgotnościach względnych powietrza. Wydajność urządzeń do osuszania metodą kondensacyjną jest zróżnicowana i wynosi przy małej mocy urządzeń (2,5 kW) 5 dm3/dobę, aby przy wilgotności względnej powietrza w pomieszczeniu równej 90% i mocy urządzenia 14 kW osiągnąć 1600 dm3/dobę. Wydajność urządzeń jest większa w wyższych temperaturach i przy wyższych wilgotnościach względnych powietrza w pomieszczeniu. Osuszacze kondensacyjne posiadają automatyczne odszranianie dopuszczające całkowicie sprawne działanie urządzeń przy niskich temperaturach (fot. 2).
Uwaga: wykaz literatury zostanie przez autorów zamieszczony w ostatniej części cyklu artykułów poświęconych renowacji obiektów, tj. w artykule „Osuszanie” – cz. II.
mgr inż. Cezariusz Magott
Polskie Stowarzyszenie Mykologów Budownictwa
Izoserwis – Izolacje Budowlane
mgr inż. Maciej Rokiel
Polskie Stowarzyszenie Mykologów Budownictwa




