Budynek jest praktycznie przez cały czas eksploatacji narażony na oddziaływanie wody i wilgoci. Są to m.in. wody opadowe, gruntowe czy pochodzenia kondensacyjnego. Szczególnym przypadkiem niszczycielskiego oddziaływania wody jest powódź.
Zalanie budynku przez wody powodziowe to niejednokrotnie dla ich mieszkańców utrata dorobku całego życia. Na szczęście stałe monitorowanie poziomów rzek w okresach sprzyjających występowaniu podtopień czy powodzi pozwala podjąć czynności pozwalające przynajmniej na uratowanie wyposażenia mieszkań, zwierząt gospodarskich oraz polegające na odpowiednim przygotowaniu budynków do występującego zagrożenia. Najlepszym bowiem sposobem zabezpieczenia budynku przed powodzią/podtopieniem jest przeciwdziałanie. Już stan zagrożenia powodziowego powinien być sygnałem do poczynienia pewnych kroków zaradczych: przygotowanie i ułożenie worków z piaskiem, zabezpieczenie drewnianej stolarki wodoodpornymi taśmami, wyniesienie do wyższych części budynku elementów wyposażenia itp. Chodzi o to, żeby ograniczyć do minimum czas oddziaływania wody na obiekt (oczywiście w takim zakresie, na ile jest to realne). Pozwala to na znaczne zminimalizowanie ewentualnych szkód.
.jpg)
Rys. 1. Specyfika procesu nagrzewania energią mikrofalową (rys. C. Magott)
Osuszanie to tylko jeden z etapów prac naprawczych, ale bardzo istotny. Jednak musi on być skoordynowany z innymi pracami naprawczymi. Już na etapie diagnostyki stanu technicznego należy ocenić stan izolacji wodochronnych budynku, brak skutecznie działających hydroizolacji wymusza bowiem wykonanie odpowiednich robót naprawczych, w przeciwnym razie osuszanie nie będzie skuteczne, może nawet dojść do zintensyfikowania procesów destrukcyjnych.
Nasiąkliwość zanurzonego w wodzie muru z cegły może wynosić dwadzieścia kilka procent (wilgotność suchego muru nie przekracza zazwyczaj 3–5%), oznacza to, że w metrze sześciennym muru może znajdować się nawet 250–350 litrów wody. Próba jej usunięcia w nieprzemyślany sposób ma przykre konsekwencje.
Osuszenia budynku nie ogranicza się tylko do wstawienia jednego z kilku rodzajów osuszaczy czy źródeł ciepła, to także określenie sposobu przygotowania przegród, intensywności osuszania, oznaczenie parametrów wilgotnościowych, którymi powinien cechować się mur po zakończeniu prac, itp. Wymagane jest zatem zaprojektowanie procesu osuszania (lub przynajmniej podania konkretnych zaleceń) przez specjalistę. Temu celowi powinny być także podporządkowane działania wstępne (określenie stanu technicznego budynku) oraz ewentualne prace naprawcze hydroizolacji.
Podstawowe pytanie, na jakie trzeba odpowiedzieć, brzmi: czy osuszanie jest w ogóle potrzebne, a jeżeli tak, to kiedy należy je rozpocząć. Może to brzmieć paradoksalnie, ale zbyt szybkie włączanie osuszaczy prowadzi jedynie do generowania kosztów. Kolejne pytanie to jakie metody wybrać, jak długo mają trwać prace osuszeniowe i jakie materiały można/należy stosować do wykonania warstw wykończeniowych.

Rys. 2. Schemat rozchodzenia się mikrofal w przegrodzie murowanej (rys. C. Magott)
Należy podkreślić, że podane zalecenia mają charakter ogólny, nie sposób omówić w krótkim tekście wszystkich możliwych sposobów postępowania.
Powszechnie rozróżnia się dwie metody osuszania:
– naturalne,
– sztuczne.
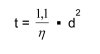
Czas wysychania naturalnego przegród w piwnicach budynków popowodziowych można określić wzorem [3]:

gdzie: d – odległość przemieszczania się wilgoci w kierunku powierzchni przegrody, z której może odparować [cm];
η – prędkość wysychania przegrody w cm²/dobę, zawiera się w granicach od 0,25 do 2,5 i uzależniona jest od rodzaju przegrody i warunków wysychania.
Zakładając pełną sprawność izolacji przeciwwilgociowych, dla początkowego zawilgocenia przegrody rzędu 22–24% i względnej wilgotności powietrza wewnątrz pomieszczeń piwnicznych w granicach 70–80%, pełne naturalne wysychanie ścian do wartości 4% wilgotności masowej nastąpi po kilku latach [3].
.jpg)
Fot. 1. Osuszacz kondensacyjny (fot. M. Rokiel)
Osuszanie naturalne należy wykorzystywać przede wszystkim podczas sprzątania, dezynfekcji i dezynsekcji budynku, zwłaszcza gdy występują sprzyjające warunki atmosferyczne. Wspomagać je można urządzeniami wentylacyjno-grzewczymi, ustawionymi w świetle zewnętrznych otworów okiennych i/lub drzwiowych.
Do metod osuszania sztucznego zaliczyć należy:
– osuszanie absorpcyjne,
– osuszanie z wykorzystaniem gorącego powietrza (lub innego źródła ciepła), np. promienników, pieców,
– osuszanie kondensacyjne,
– metody z wykorzystaniem mikrofal.
Osuszanie absorpcyjne (sorpcyjne) polega na odebraniu wody z zawilgoconych materiałów przez otaczające powietrze, suszone uprzednio absorpcyjnymi osuszaczami powietrza. Suche powietrze (ok. 1–3 g wody na 1000 g powietrza) w kontakcie z wilgotnymi przegrodami jest w stanie odebrać z nich nadmierną ilość wody, doprowadzając do stanu tzw. wilgotności równowagi, zależnej od rodzaju materiału przegrody. Osuszanie wilgotnego powietrza następuje po przejściu przez urządzenie ze środkiem absorbującym wilgoć z powietrza (na filtrze obrotowym). Może to być np. żel silikonowy, chlorek litu lub żel krzemionkowy. Osuszone powietrze jest podgrzewane i wraca do pomieszczenia, aby ponownie nasycić się parą wodną. Natomiast wilgoć odebrana z osuszanego powietrza jest odprowadzana na zewnątrz. Proces ma charakter cykliczny aż do osuszenia przegród. Metoda sorpcyjna daje najlepsze wyniki, gdy wilgotność względna w pomieszczeniu spadnie poniżej 30%. Okna i drzwi podczas osuszania tą metodą powinny być zamknięte (osuszane pomieszczenie powinno być uszczelnione przed dopływem powietrza z zewnątrz, dlatego jeszcze lepsze wyniki się osiąga, gdy na powierzchni suszonych przegród zamocuje się dodatkowo np. folię PCW (tzw. foliowanie). Metoda ta pozwala także na osuszenie trudno dostępnych, zawilgoconych miejsc budynku. Czas osuszania jest trudny do określenia, zależy od wielu czynników.
.jpg)

Fot. 2. Osuszanie mikrofalowe (fot. C. Magott)
Osuszanie gorącym powietrzemwymaga zastosowania specjalnych nagrzewnic zasilanych prądem elektrycznym, gazem (propan, propan-butan) lub olejem opałowym. Nie wolno wychodzić z założenia, że im wyższa temperatura, tym lepiej. Temperatura ogrzanego powietrza (na wylocie z nagrzewnicy) może dochodzić nawet do 250ºC, należy jednak tak ją wyregulować, żeby (uwzględniając konieczność zapewnienia niezbędnej wentylacji pomieszczenia) temperatura powietrza wewnątrz pomieszczenia nie przekraczała 35–37ºC. Wyższa temperatura skutkuje niebezpieczeństwem pojawienia się dużego ciśnienia pary wodnej w murach (zwłaszcza otynkowanych). Osuszanie ścian gorącym powietrzem bez skutecznej wentylacji pomieszczeń daje tylko powierzchniowe efekty. Suszenie gorącym powietrzem, przy braku szybkiego odprowadzenia wilgoci na zewnątrz budynku, powoduje cyrkulację powietrza w pomieszczeniu i oddawanie wilgoci suchym fragmentom przegród.
Metoda ta może być stosowana w ograniczonym zakresie, jej wadą jest zwiększenie ryzyka wystąpienia szkód w wyposażeniu technicznym pomieszczeń (lub wręcz ich wystąpienie), zniszczenia materiału lub wystąpienia korozji biologicznej. Dlatego wilgoć powinna być usuwana na zewnątrz przez wentylację, a powietrze wprowadzane z zewnątrz powinno być ogrzewane.
W osuszaczach kondensacyjnychwilgotne powietrze zasysane jest przez wentylator (wymuszający obieg powietrza) i przesyłane na oziębiający parownik, w którym następuje kondensacja pary wodnej. Kondensat zbiera się w zbiorniku, skąd za pomocą pompy odprowadzany jest do instalacji ściekowej lub na zewnątrz (fot. 1). Parametry podczas osuszania dobiera się tak, aby w ciągu godziny wymienić ok. 3,5 objętości powietrza w pomieszczeniu. Osuszacze kondensacyjne działają skutecznie w szerokim zakresie temperatur (od 0 do +40ºC), przy czym optymalne ich działanie zachodzi w temperaturze 20–25ºC. Wydajność urządzeń jest zatem większa w wyższych temperaturach i przy wyższej wilgotności względnej powietrza w pomieszczeniu (30–90%), dlatego okna i drzwi powinny być zamknięte. Przy niskiej wilgotności względnej powietrza metody tej nie zaleca się stosować. Metoda ta jest relatywnie tania, jednak nie nadaje się do osuszenia trudno dostępnych miejsc, takich jak np. warstwy posadzki czy kanały. Jej zaletą jest natomiast zmniejszenie ryzyka pojawienia się grzybów pleśniowych.
Osuszanie mikrofalowe (fot. 2) – energia mikrofalowa pojawia się w murach obiektu dlatego, że generator mikrofalowy – przystawiony do ściany – emitując szybkozmienne pole elektromagnetyczne, nie jest obojętny dla zawartej wilgoci w murach. Szybkozmienne pole o częstotliwości 2,45 GHz powoduje, iż polarne cząstki H2O „rotują” w tej przestrzeni z podobną częstotliwością, powodując wzajemne tarcia, tym samym podniesienie temperatury muru. Specyfikę procesu nagrzewania energią mikrofalową pokazano na rys. 1. Następuje to wprost proporcjonalnie do czasu trwania zabiegu. Należy przy tym pamiętać, żeby cykle grzania w jednym miejscu były tak dobrane, aby nie powodować przegrzania ściany czy podłogi. Po nagrzaniu muru do odpowiedniej temperatury generatory się przestawia. Czynności te powtarza się sukcesywnie do momentu obniżenia się zawilgocenia przegrody do wymaganego stopnia. Generatory mikrofalowe wyposażone są w odpowiednio ukształtowaną antenę tubową gwarantującą wysoką sprawność emisji rozchodzenia się fal elektromagnetycznych w przegrodach (rys. 2). Efektem działania mikrofal jest powstanie takiego rozkładu temperatur w przegrodzie, który sprzyja wypychaniu wody zawartej w kapilarach, również w kierunku lica powierzchni nagrzewanej ściany. Kolejną zaletą tej techniki jest to, że podczas emisji mikrofal dochodzi również do denaturacji życia biologicznego mogącego występować w przegrodzie (techniczne szkodniki drewna, grzyby) poprzez ich termiczne zniszczenie. Metoda daje możliwość osuszania grubych murów (nawet do 2,5 m grubości), jednak stosować ją mogą tylko odpowiednio przeszkolone osoby (firmy). Bardzo istotne jest określenie (i potem kontrola) wysokości temperatury, do której w jednym cyklu mogą być podgrzewane osuszane mury. Jest to konieczne, by nie doprowadzić do powstania naprężeń termicznych na styku zaprawy z cegłą, powodujących przekroczenie ich parametrów wytrzymałościowych, lub do destrukcji samej zaprawy (podgrzewanie zapraw budowlanych do temperatury wyższej niż 120º powoduje ich destrukcję także na skutek utraty wody związanej chemicznie). W warunkach budowy temperaturę muru najlepiej jest mierzyć termometrem bezkontaktowym na licu przegrody, bezpieczna temperatura, do jakiej można podgrzewać osuszaną ścianę, nie powinna przekraczać 80ºC.
Najbardziej efektywną formą usuwania wody z przegród jest zastosowanie metod mieszanych, np. jednoczesne zastosowanie osuszaczy sorpcyjnych w połączeniu z osuszaniem mikrofalowym (generatory mikrofalowe wyprowadzają wodę zawartą w kapilarach w kierunku lica przegrody, skąd odbierają ją osuszacze sorpcyjne). Wymaga to odpowiedniego zaprojektowania technologii, zalecana (jeżeli nie konieczna) jest zatem konsultacja ze specjalistą lub skorzystanie z usług wyspecjalizowanej firmy.
Osobną, ale bardzo istotną kwestią jest odpowiedź na pytanie, kiedy osuszanie należy zakończyć. Prace tynkarskie i malarskie wymagają podłoża o wilgotności maksymalnej rzędu 4–6%, inne prace wykończeniowe, np. układanie płytek czy tapetowanie 2–4%. Posadzki zwykle się wykonuje, gdy wilgotność podkładów betonowych jest nie wyższa niż 4–5%. Dla prac związanych z materiałami gipsowymi wilgotność podłoża nie powinna przekraczać 1–2%.
Niektóre prace wykończeniowe można przyspieszyć. Na zawilgoconych i zasolonych murach można stosować tzw. tynki renowacyjne. Są to specjalne, fabrycznie przygotowane suche zaprawy tynkarskie. Ich istotą jest specyficzny sposób zachowania się. Na skutek swych właściwości tynk wchłania wilgoć znajdującą się w murze, oddaje ją do otoczenia pod postacią pary wodnej, jednocześnie magazynując w sobie w postaci skrystalizowanej szkodliwe sole (jeżeli występują), a przesuwając strefę odparowania do wnętrza tynku, nie dopuszcza do powstawania wykwitów na powierzchni. Tynki renowacyjne mogą być stosowane wewnątrz i na zewnątrz, w warstwie o grubości przynajmniej 2 cm. Nie wolno ich pokrywać paroszczelnymi wykładzinami (płytki, tapety) ani malować farbami (farby emulsyjne, akrylowe czy olejne), lecz tylko dyfuzyjnymi farbami silikatowymi lub silikonowymi. Nie można ich zaklasyfikować do metod sensu stricte osuszających, umożliwiają jednak usunięcie nadmiaru wilgoci z przegrody. Jeżeli zostały zastosowane w pomieszczeniu, konieczne jest zapewnienie skutecznej wentylacji.
mgr inż. Maciej Rokiel
Polskie Stowarzyszenie Mykologów Budownictwa
Literatura
1. M. Rokiel, Hydroizolacje w budownictwie. Wybrane zagadnienia w praktyce, wyd. II, Dom Wydawniczy Medium, 2009.
2. J. Ważny, J. Karyś, Ochrona budynków przed korozją biologiczną, Arkady 2001.
3. J. Karyś, K. Kujawiński, Opóźnione w czasie skutki powodzi występujące w starych budynkach, „Ochrona przed korozją” nr 5/2004.
4. Z. Stramski, J. Kunert, Zabezpieczanie budynków przed korozją biologiczną ze szczególnym uwzględnieniem obiektów uszkodzonych w wyniku powodzi, PZiTB o/Wrocław, 1997.




