Użytkowanie urządzeń mikroretencyjnych w systemach kanalizacyjnych wpisuje się w koncepcję zrównoważonego rozwoju gospodarki wodno-ściekowej w obszarach zurbanizowanych.
STRESZCZENIE
W najbliższych latach konieczna będzie zmiana podejścia do rozwoju miejskich systemów odwodnienia – w zdecydowanie większym stopniu będą one musiały zostać zagospodarowane w obrębie nieruchomości. W artykule przedstawiono możliwości zastosowania indywidualnych urządzeń do zagospodarowania wód opadowych i ich wpływu na odciążenie systemów kanalizacyjnych. Zaprezentowano podstawowe metody obliczania wymaganej objętości zbiorników do gospodarczego wykorzystania wód opadowych oraz urządzeń (niecek) infiltracyjnych.
ABSTRACT
In the next few years, it will be necessary to introduce changes in respect of the development of urban drainage systems – they will need to be managed within a property to a much greater extent. The article presents the possibilities of using individual equipment for rainwater drainage, as well as their impact on relieving water and sewage systems. It describes the basic methods used to calculate the required volume of both tanks for rainwater reuse and infiltration devices (basins).
Odprowadzanie wód opadowych z obszarów zurbanizowanych stanowi aktualny problem, związany między innymi z dynamicznym i często niekontrolowanym rozwojem obszarów miejskich, a także z brakiem urządzeń retencyjnych, współdziałających z siecią kanalizacyjną. Skutkuje to coraz częstszym występowaniem zjawisk podtapiania obszarów zurbanizowanych w czasie intensywnych opadów. Przeciążenie hydrauliczne sieci kanalizacyjnych to niejedyny problem, równie ważne jest oddziaływanie na środowisko wodne ładunków zanieczyszczeń zawartych w zrzutach systemów kanalizacyjnych.
W warunkach naturalnych lub zbliżonych do naturalnych większość opadu wsiąka lub paruje, podtrzymując naturalną wilgotność środowiska przez takie procesy, jak: infiltracja, intercepcja, ewapotranspiracja oraz retencja glebowa. Tylko średnio 10% odpływa po powierzchni gruntu do rzek i jezior. W miastach wielkości te ulegają odwróceniu. Przy 35-50% uszczelnieniu terenu (budynki, infrastruktura drogowa) ilość opadu odpływającego powierzchniowo przez kanalizację do rzek wzrasta do 30%. W centrach miast, gdzie 55-85% powierzchni cechuje szczelna zabudowa, średnio aż ponad 50% wody rocznie odpływa bezpowrotnie. W czasie intensywnych opadów wartości te sięgają ponad 90% [2].

© Goodpics – Fotolia.com
Przez dziesięciolecia tradycyjne podejście do projektowania opierało się na koncepcji jak najszybszego transportu wód opadowych do odbiornika. Skutkuje to dzisiaj wieloma negatywnymi zjawiskami, do których należy zaliczyć:
- bezpośrednie odprowadzanie spływów opadowych ze wszystkich powierzchni nieprzepuszczalnych (brak kontroli nad uszczelnieniem zlewni);
- kierowanie odpływów opadowych najkrótszą drogą do odbiornika, bez wykorzystania zarówno możliwości retencyjnych zlewni, jak i samego systemu kanalizacyjnego;
- założenie a priori niewielkiego zanieczyszczenia spływów opadowych;
- brak analizy ilościowej i jakościowej wpływu zrzutów ścieków opadowych na odbiornik (zazwyczaj się zakłada, że odbiornik może przyjąć bez szkody każdą ilość wód opadowych);
- niewłaściwe i niekonsekwentne planowanie przestrzenne obszarów miejskich;
- niewłaściwą konserwacją urządzeń podczyszczających ścieki opadowe;
- występowanie nielegalnych podłączeń ścieków bytowo-gospodarczych;
- brak świadomości ekologicznej wśród użytkowników systemu.
Należy jeszcze dodać kwestię obserwowanych zmian klimatycznych, które w zakresie gospodarki wodnej w miastach mają skutkować zwiększeniem liczby i intensywności zdarzeń opadowych.
Przy tradycyjnym sposobie projektowania systemów odwodnienia oznaczałoby to konieczność zwiększenia zdolności przepustowej (średnic) istniejących kanałów. Mając na względzie duży zakres potrzeb związanych z infrastrukturą kanalizacyjną, istotne jest, by już obecnie jej modernizację i rozbudowę prowadzić zgodnie z obecnie preferowanymi tendencjami światowymi obejmującymi przede wszystkim:
- ograniczanie dopływu wód opadowych do systemów podziemnych poprzez ich infiltracje do gruntu, wykorzystanie gospodarcze czy też retencje w zbiornikach otwartych – rozwiązania te można ogólnie nazwać działaniami u źródła powstawania spływu powierzchniowego;
- efektywne sterowanie przepływem ścieków opadowych oraz ładunkiem zanieczyszczeń w nich zawartych, które zasilają systemy kanalizacyjne w czasie opadów nawalnych – głównie
- przez budowę sieciowych zbiorników retencyjnych;
- traktowanie odbiornika ścieków deszczowych jako integralnego elementu systemu kanalizacyjnego, co oznacza odejście od koncepcji kontroli stężeń zanieczyszczeń na poszczególnych wylotach na rzecz kontroli globalnego wpływu zrzutów ze wszystkich wylotów z kanalizacji na jakość wód odbiornika.
Spośród wymienionych działań najbardziej efektywne jest ograniczenie odpływu do sieci kanalizacyjnych przede wszystkim dlatego, że można je zrealizować przy stosunkowo niewielkich kosztach, stosując proste w działaniu urządzenia. W pozostałych przypadkach konieczne są zdecydowanie większe nakłady inwestycyjne na budowę sieciowych zbiorników retencyjnych, zdecydowanie droższych w utrzymaniu.

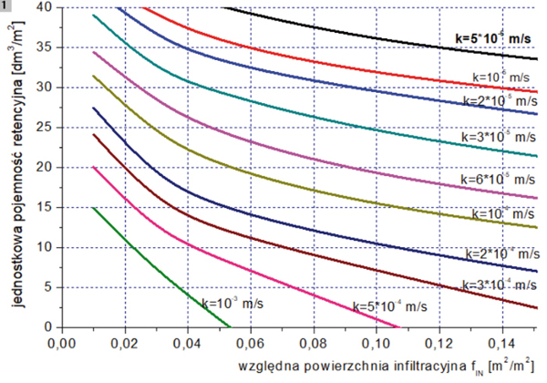
Rys. 1. Nomogram do wyznaczania wymaganej pojemności retencyjnej niecki infiltracyjnej dla opadu według formuły IMGw (Bogdanowicz i Stachy, dla c = 5 lat)
Nowoczesne sposoby odprowadzania ścieków opadowych
Zastosowanie zrównoważonych systemów zagospodarowania wód opadowych przynosi liczne korzyści:
- duża zdolność przejmowania spływu opadowego, a tym samym zmniejszenie ilości ścieków kierowanych do systemu kanalizacyjnego (zwiększenie jego niezawodności działania);
- ograniczanie przelewów burzowych kanalizacji ogólnospławnej, a przez to poprawa jakości wód odbiorników i bioróżnorodności środowiska wodnego;
- zachowanie naturalnego obiegu wody w przyrodzie na obszarach zurbanizowanych i zapobieganie stepowieniu gleb;
- możliwość wzbogacania zasobów wód podziemnych;
- poprawa walorów krajobrazowych;
- korzystny wpływ na mikroklimat, a przez to poprawa warunków życia mieszkańców;
- ograniczenie erozji w odbiornikach. Analizując przykłady stosowania koncepcji odwodnienia zlewni, zgodne z koncepcją zrównoważonego rozwoju, należy zauważyć, że mimo różnego nazewnictwa mają one wspólny mianownik – dążenie do odtworzenia naturalnego obiegu wody w otoczeniu silnie zniekształconym przez działalność człowieka. W każdej z wymienionych koncepcji jedna z kluczowych ról przypada małym urządzeniom retencyjnym, wykonanym zazwyczaj jako niecki/zbiorniki opróżniające się przez parowanie oraz infiltrację wód do gruntu.
Ze względu na wymiary tego typu urządzeń (objętość rzędu kilku metrów sześciennych) zasadne jest zastosowanie terminu „urządzenia mikroretencyjne” bądź po prostu „mikroretencja”. Termin ten obejmuje także zbiorniki do magazynowania wód opadowych dla celów gospodarczych, gdyż indywidualne instalacje nierzadko mają zbiorniki magazynowe o objętości jedynie 2-3 m3. Niewłaściwe wydaje się stosowanie terminu „mała retencja”, który w hydrologii określa zbiorniki lub spiętrzanie wody w korytach małych rzek i dotyczy obiektów o znacznie większych objętościach (nawet rzędu kilku tysięcy metrów sześciennych).
Cechą wspólną wszystkich koncepcji zrównoważonej gospodarki wodami opadowymi jest duża liczba różnego typu urządzeń oraz ich kombinacji, umożliwiających dostosowanie ich do zadanych warunków lokalnych. Należy jednak brać pod uwagę ograniczenia, takie jak: koszty wdrożenia, dostępność terenu, zachowanie wymaganych odległości od budynków i infrastruktury, występowanie korzystnych warunków hydrogeologicznych, zapewnienie odpowiedniej eksploatacji urządzeń, trudności w projektowaniu (brak wytycznych projektowych, brak doświadczenia, niechęć do stosowania rozwiązań nowatorskich). Istnieje wiele możliwych klasyfikacji urządzeń, które wpisują się w koncepcję zrównoważonego rozwoju systemów odprowadzania ścieków opadowych. Jednym z takich kryteriów podziału może być wielkość obsługiwanej zlewni. Przyjmując za najmniejszą jednostkę zagospodarowania przestrzennego pojedynczą nieruchomość, możliwości techniczne ograniczają się do dwóch rozwiązań: urządzenia retencyjno-infiltracyjne (tzw. niecki infiltracyjne) i urządzenia do gospodarczego wykorzystania wód opadowych.
Do wymienionych rozwiązań zagospodarowania wód opadowych można jeszcze dodać zielone dachy, jednak istotnym ograniczeniem są w tym przypadku relatywnie wysokie koszty realizacji i ograniczenia związane z wytrzymałością istniejących konstrukcji przy dodatkowym obciążeniu.

Rys. 2 Możliwe procentowe pokrycie zapotrzebowania na wodę użytkową dla Częstochowy
Przykłady wymiarowania urządzeń mikroretencyjnych
W skrajnie korzystnych warunkach gruntowych możliwe jest odprowadzenie wód z powierzchni dachu bezpośrednio na powierzchnie biologicznie czynne bez zapewnienia pojemności retencyjnej. Ważne jest, by na takich obszarach nie było dozwolone odprowadzanie wód opadowych z powierzchni czystych (dachy) do systemów kanalizacyjnych.
W większości przypadków zapewnienie właściwej niezawodności instalacji odwodnienia wymagać będzie pewnej objętości retencyjnej, tym większej, im gorsze są warunki gruntowe (wodoprzepuszczalność). Instalacje te wymagają przeznaczenia odpowiedniej powierzchni terenu, stanowiącej przeciętnie 5-15% powierzchni odwadnianej. Muszą także zostać spełnione określone warunki lokalizacyjne (zachowanie odległości od budynków podpiwniczonych oraz od innej infrastruktury), wymagane są również odpowiednie warunki gruntowe (wodoprzepuszczalność na poziomie minimum 10-6 m/s, odległość od zwierciadła wód podziemnych przynajmniej 1 m). W dłuższej perspektywie czasu należy uwzględnić konieczność usunięcia zakolmatowanej wierzchniej warstwy. Mając na względzie koszty inwestycyjne, otwarte niecki infiltracyjne są niewątpliwie najtańszym rozwiązaniem, jakie można zastosować dla zagospodarowania wody opadowej spływającej z dachów. Podstawowe zasady wymiarowania niecek infiltracyjnych przedstawiono m.in. w publikacji [1], a dla warunków krajowych zostały opisane przez [3] na podstawie modelu opadów opracowanego wg Bogdanowicz i Stachego (model IMGW). Dla zadanej wartości współczynnika wodoprzepuszczalności k (m/s) i względnej powierzchni infiltracyjnej (definiowanej jako stosunek powierzchni infiltracyjnej do powierzchni odwadnianej) można odczytać jednostkową pojemność retencyjną (podaną w litrach na metr kwadratowy powierzchni nieprzepuszczalnej) – rys. 1.
Wśród zalet niecek infiltracyjnych można wymienić również dobre warunki dla wkomponowania w tereny zielone.
W wariancie infiltracji podziemnej wykorzystuje się prefabrykowane elementy z tworzyw sztucznych (skrzynki, komory, tunele), które zwiększają koszty inwestycyjne oraz utrudniają eksploatację i przy niewłaściwej konserwacji następuje kolmatacja dna urządzenia. Z drugiej strony taka forma infiltracji zmniejsza uciążliwości związane z eksploatacją otwartego zbiornika wody, zapewnia dobre warunki gromadzenia wód i ma niskie wymagania jakościowe w stosunku do wody.
W przypadku braku możliwości wykonania urządzeń opartych na infiltracji wód do gruntu alternatywą jest zastosowanie urządzeń do gospodarczego wykorzystania wód opadowych. Wykorzystanie wód deszczowych jest szczególnie popularne w krajach, gdzie wprowadzono opłaty za odprowadzanie wód opadowych do kanalizacji bądź cena metra sześciennego wody pitnej jest stosunkowo wysoka. Najbliższym przykładem są Niemcy, gdzie powszechność opłat za odprowadzanie wód opadowych była czynnikiem decydującym popularności systemów zagospodarowania deszczówki przez właścicieli prywatnych posesji. Dostępność wód opadowych jest kluczowym, ale niejedynym czynnikiem, decydującym o opłacalności zastosowania systemu wykorzystania wód deszczowych. Istotny jest także popyt na wodę o parametrach niespełniających standardów wody pitnej (tzw. woda użytkowa). W budynkach mieszkalnych wodę opadową wykorzystuje się najczęściej do spłukiwania toalet i podlewania zieleni, ale może być używana również do prania. W obiektach komunalnych i przemysłowych dodatkowo stosuje się ją do nawadniania terenów zielonych, boisk sportowych, na cele rolnicze lub do mycia pojazdów. Jak wykazały badania krajowe w zakresie struktury zużycia wody przez gospodarstwa jednorodzinne, od 40% do nawet 70% dziennego zapotrzebowania na wodę nie wymaga jakości wody pitnej i może być zastąpione np. wodą pochodzącą z opadów.
Zalety wykorzystania takiego systemu to niewątpliwie korzyści finansowe wynikające z redukcji zużycia wody z systemu wodociągowego. Niemniej jednak występują ograniczenia, a jednym z nich jest efektywność finansowa systemu wykorzystania wód opadowych. Zależy ona od takich czynników, jak: rynkowa cena wody, wymagana przepustowość instalacji oraz ciśnienie (koszty pomp, zestawu hydroforowego), rodzaj zastosowanych materiałów instalacyjnych, typ zbiornika (podziemny, w piwnicy, naziemny) oraz rodzaj filtra. Jednak zasadniczy wpływ na efektywność oraz ogólne koszty wykonania instalacji ma wielkość zastosowanego zbiornika do magazynowania wód opadowych. Wyznaczenie optymalnej objętości nie jest zagadnieniem łatwym, ponieważ zbyt mały zbiornik nie przyniesie spodziewanych korzyści, a zbyt duży zbiornik poza wysokimi kosztami będzie sprawiał problemy z jakością magazynowanych wód. Dlatego proponowane są metody uproszczone, najczęściej polegające na założeniu, że objętość zbiornika ma wystarczyć do zmagazynowania 5% średniego rocznego opadu dla danej miejscowości lub na pokrycie dniowego zapotrzebowania na wodę użytkową na 14-30 dni. W przypadku dostępu do szczegółowych danych o opadach (np. sum dobowych) możliwe jest bardziej precyzyjne określenie wymaganej pojemności zbiornika. Ze względu na zróżnicowane zapotrzebowanie na wodę użytkową oraz różne powierzchnie dachów konieczne jest określenie dwóch parametrów względnych:
- względna pojemność retencyjna definiowana jako:

gdzie: V – całkowita objętość retencyjna [dm3], F – efektywna powierzchnia dachu [m2];
- względne dobowe zużycie (zapotrzebowanie) wody użytkowej definiowane jako:

gdzie: Z – dobowe zużycie wody użytkowej [dm3], F – efektywna powierzchnia dachu [m2].
Na rys. 2 przedstawiono wykres pokazujący, w ilu procentach możliwe jest pokrycie zapotrzebowania na wodę użytkową w zależności od jej względnego zużycia oraz względnej pojemności retencyjnej. Powyższa analiza została wykonana na podstawie 8-letnich danych dobowych dla miasta Częstochowy. Można zauważyć, że zwiększanie pojemności zbiornika nie przekłada się na znaczący wzrost pokrycia zapotrzebowania na wodę – decydujące jest jej przeciętne zużycie (Zw).
Podsumowanie
Zastosowanie urządzeń mikroretencyjnych w systemach kanalizacyjnych wpisuje się w koncepcję zrównoważonego rozwoju gospodarki wodno-ściekowej w obszarach zurbanizowanych. Używanie urządzeń infiltracyjnych stanowi najtańsze rozwiązanie, chociaż problematyczne jest lokalizowanie tych urządzeń w gęstej zabudowie miejskiej. Zastosowanie zbiorników do gospodarczego wykorzystania wód opadowych umożliwia znaczące ograniczenie ich odpływu do systemów kanalizacyjnych przy jednoczesnej oszczędności zużycia wody z sieci wodociągowej. Osiągnięcie wymiernych korzyści możliwe jest nawet dla objętości retencyjnych na poziomie 2 m3 na 100 m2 powierzchni dachu.
dr hab. inż. Maciej Mrowieć, prof. Politechniki Częstochowskiej
Literatura
- W. Geiger, H. Dreiseitl, Nowe sposoby odprowadzania wód deszczowych. Poradnik retencjonowania i infiltracji wód deszczowych do gruntu na terenach zabudowanych, Bydgoszcz 1999.
- A. Kotowski, Podstawy bezpiecznego wymiarowania odwodnień terenów, Wydawnictwo Seidel-Przywecki, Wrocław 2011.
- M. Mrowiec, Rozwój systemów kanalizacyjnych w aspekcie zapobiegania zjawiskom powodzi miejskich, Wydawnictwo Seidel-Przywecki, Wrocław 2011.




