Osuszanie budynku nie jest nigdy wynikiem rzekomego oddziaływania bezprzewodowej elektroosmozy.
Wilgoć w budynku bezspornie stanowi poważny problem zarówno zdrowotny, jak i techniczny. Nie bez powodu Amerykanie zagrzybione domy nazywają „białaczkowymi”. Wysiłki podejmowane przez mieszkańców mające na celu pozbycie się wilgoci, i to dosłownie za wszelką cenę, są więc w pełni uzasadnione. Rynek budowlany oferuje wiele różnorodnych sposobów postępowania. Do sprawdzonych metod zalicza się odkopanie budynku do poziomu ław i wykonanie przeciwwilgociowych blokad poziomych i pionowych. Niejednokrotnie zachodzi również konieczność wykonania drenażu, reprofilacji przyległego terenu i usprawnienia systemu odprowadzenia wód opadowych. Dla wielu inwestorów są to jednak zbyt skomplikowane i kosztochłonne prace. Poszukuje się więc sposobów mniej uciążliwych i oczywiście tańszych.
W internecie można znaleźć oferty na superskuteczne osuszenie budynku bez jakiejkolwiek ingerencji w jego strukturę. Jest to trafne wyczucie rynku i wyjście naprzeciw oczekiwaniom klientów. Jeśli stoi za tym czysto hipotetyczna obietnica zwrotu w całości poniesionych kosztów w przypadku braku skuteczności, to decyzja jest w zasadzie podjęta. Rozpoczyna się osuszanie, a podekscytowani mieszkańcy, patrząc na dziwne urządzenia, czują się uprzywilejowanymi i wtajemniczonymi wybrańcami – tak jakby przeszli inicjację. Po upływie około roku zaczyna się pojawiać zniecierpliwienie i frustracja spowodowana brakiem jakichkolwiek efektów. Jeśli w projekcie były wykorzystane dotacje unijne, to wiadomo, że nawet sugerowanie braku skuteczności osuszania byłoby podcinaniem gałęzi, na której siedzą decydenci. Zapada więc administracyjna decyzja, że w budynku jest sucho i tak ma być w całym okresie trwania projektu. Autorowi zdarzało się wykonywać ekspertyzy takich budynków potwierdzające wysoki stan zawilgocenia, które niestety trafiały do sejfu (na szczęście były to sporadyczne przypadki). Spotykał się również z poważnie wygłaszanymi wyjaśnieniami inwestorów, że są zadowoleni z zainstalowania osuszaczy bezprzewodowych, „bo w przeciwnym razie budynki rozpadłyby się i nie byłoby czego osuszać tradycyjnymi metodami”.

© Dmitrii – Adobestock.com
Zawilgacanie kapilarno-porowatej struktury murów najczęściej jest spowodowane kapilarnym podciąganiem wód gruntowych na skutek braku izolacji wodochronnych lub ich technicznego zużycia.
Zjawisko zawilgacania kapilarnego jest dobrze rozpoznane naukowo, wokół wody jednak, która nawet przez inżynierów chętnie jest uznawana za płyn bardzo zagadkowy, dość łatwo wytworzyć otoczkę tajemniczości. Pojawiają się więc manipulacje i różne wyniki rzekomych badań, opiniowane nawet przez profesorów, którym zasada zachowania energii kojarzy się głównie z koniecznością zabrania kanapek na długą wycieczkę i którzy pozyskali (w zaufaniu) pewne informacje od dostawców, że podciąganie kapilarne można skutecznie powstrzymać bezinwazyjnie, i to również bez nakładu energii. Zamęt skutkuje stale narastającym utrwalaniem fałszywej interpretacji oczywistych zjawisk, a to sprawia, że rezygnuje się ze skutecznych działań technicznych ochrony budynków przed wilgocią na rzecz pseudonauki, ezoteryki czy po prostu kanciarstwa.
Do niedawna rytuał wieszania pod sufitami wiklinowych koszy, skrzynek, kul, puszek itd. autor traktował jako weselszą i mniej szkodliwą odmianę zarabiania pieniędzy „metodą na wnuczka”, gra toczy się jednak o duże pieniądze, a rozmiar tego zjawiska stopniowo zaczyna przybierać na sile. Z racji swojej profesji uczestniczą w niej również inżynierowie budownictwa – najczęściej zagubieni i niedoinformowani, którzy na pytanie, czy to działa, odpowiadają: na dwoje babka wróżyła – podobno gdzieś zadziałało. Warto więc przytoczyć kilka istotnych informacji i wyjaśnić techniczne szczegóły dotyczące transportu wody w murach, tak aby mieć jasny pogląd na ten techniczny problem.
Czytaj też: Jak osuszyć budynek z wilgoci kapilarnej
Na zlecenie jednego z sądów rejonowych prowadzących postępowanie w sprawie utrzymywania się wysokiego poziomu zawilgocenia murów, mimo zainstalowania w budynkach kilkunastu tzw. bezprzewodowych osuszaczy (o wartości liczonej w dziesiątkach tysięcy złotych), autor wykonywał badania in situ. Przekazane przez użytkowników urządzenia badał również w Laboratorium Ochrony Budowli przed Wilgocią i Wodą Naporową w Instytucie Budownictwa UWM w Olsztynie. W laboratorium są odpowiednie warunki do prowadzenia badań naukowych nad aspektami oddziaływania różnych czynników na transport wody w ośrodkach kapilarno-porowatych. Zgodnie z zasadami postępowania biegłego autor był zobowiązany przeprowadzić pełne rozpoznanie, z założeniem, że urządzenia działają – niestety nie zadziałały. Jak się później dowiedział podczas rozprawy sądowej, popełnił błąd. Aparaty te po prostu nie funkcjonują w laboratoriach, a tym bardziej w laboratoriach dobrze wyposażonych w aparaturę pomiarową, o czym wcześniej nie wiedział.
A szkoda, bo patenty, na których są oparte te „wynalazki”, wygasły już 25 lat temu, więc w majestacie prawa, bez obaw, mógłby wykorzystać je do działań biznesowych. Co prawda tajemnicza „elektroosmoza bezprzewodowa” nie figuruje w żadnym podręczniku naukowym, jednak znaczne korzyści finansowe mogłyby zrekompensować ten drobny mankament. Jedyny problem polega na tym, że urządzenia te niestety nie działają.

Rys. 1. Mechanizm podciągania kapilarnego w rurce
Fizyczne podstawy procesu kapilarnego podciągania wody w murze
W codziennej praktyce inżynierskiej spotykamy liczne przykłady występowania sił spójności i przylegania wody do materiału. Bywa, że na budowie między dwie przylegające do siebie szyby dostanie się woda – rozdzielenie tych szyb jest niezwykle trudne i wymaga zastosowania znacznej siły oraz wykonania określonej pracy. Czy możecie sobie wyobrazić pudełko puste lub z drucianą spiralą, a czasami, żeby zwiększyć tajemniczość, z podzespołem elektronicznym bez zewnętrznego zasilania, które ustawione w okolicy szyb spowoduje, że siły sklejające szyby znikną? To nie jest możliwe – powie każdy szanujący się inżynier, ale ten sam specjalista jest w stanie przyznać nagrodę na prestiżowych targach skrzynce, która za opłatą kilku tysięcy złotych potrafi wycisnąć wodę z budynku, i to bez pobierania energii zewnętrznej. Skąd tak diametralnie różna ocena tego samego zjawiska fizycznego i dlaczego tak łatwo można zrobić nawet inżynierowi wodę z mózgu i na tym zarobić?
Na czym polega manipulacja interpretacją znanych zjawisk fizycznych?
Aby odpowiedzieć na to pytanie, należy przede wszystkim przypomnieć zjawiska fizyczne rzeczywiście zachodzące w ka- pilarno-porowatej strukturze materiału, które są wplatane w „naukowe” opowieści o elektroosmozie bezprzewodowej, magnetokinezie itp. Informacje te mogą się przydać podczas rozstrzygania coraz częściej występujących arbitraży i spraw sądowych, a także do oceny zasadności wykorzystywania wsparcia finansowego z publicznych środków do bezcelowych działań opartych na rzekomo istniejących zjawiskach.
Mury zawilgoconych budynków składają się głównie z cegieł ceramicznych lub kamieni połączonych zaprawą. Zarówno cegła, zaprawa, jak i skały osadowe są porowate, czyli zawierają wolne przestrzenie, w które może się przedostawać woda pochodząca z powietrza, gruntu czy opadów atmosferycznych. Jeżeli woda w murze skutecznie chronionym przed opadami atmosferycznymi pochodzi wyłącznie z powietrza, przyjmuje się, że jest to pozostająca w równowadze z powietrzem tzw. wilgoć naturalna. Jest to istotny parametr, ponieważ umowy są często zawierane na osuszenie do poziomu wilgoci naturalnej.

Rys. 2. Wpływ promienia kapilary na wysokość podciągania kapilarnego
Polecamy także: Remonty murów licowych
W Polsce stan wilgotnościowy muru określa się najczęściej przez podanie zawartości wilgoci w materiale w formie wilgotności masowej, definiowanej jako stosunek masy wody w materiale do suchej masy tego materiału. Nasi zachodni sąsiedzi oceniają zwykle stan wilgotnościowy przez podanie stopnia wypełnienia porów wodą – stąd 12% wilgotności masowej może być porównywalne z wartością 75% wskazywaną na niemieckim urządzeniu, wyskalowanym w stopniach wypełnienia porów.
Autor wspomina o tym, ponieważ uczestniczył w rozprawie sądowej, na której biegły inżynier budownictwa pod przysięgą zeznał, że badany mur ceglany miał 75% wilgotności. Pewnie zafascynowany nowym miernikiem „ekspert” nawet nie słyszał o innych skalach i nie pomyślał, że woda w murze nie może zajmować 75%, ponieważ jego porowatość nie przekracza zwykle 25-30%, a woda może w naturalnych warunkach wypełnić do 85% porów. Maksymalna wilgotność masowa nie przekracza zatem nawet teoretycznie 25%, a w praktyce jest to około 12%.
Wilgotność naturalna muru powinna zawierać się w przedziale od 1,5 do 3-4% wilgotności masowej i zależy m.in. od zawartości wody w otaczającym przegrodę powietrzu, temperatury otoczenia, a także składu muru – rodzaju użytych cegieł i zapraw – oraz zawartości rozpuszczalnych soli. W przypadku muru zabytkowego wilgotność masowa do 4% jest stanem akceptowalnym.
W przypadku uszkodzenia izolacji wodochronnych lub ich braku, gdy jest bezpośredni kontakt hydrauliczny muru z wilgotnym gruntem, na skutek działania sił kapilarnych mur pobiera wilgoć, nazywaną wodą kapilarną. Ten proces powoduje, że wilgotność muru ceglanego może wzrosnąć znacznie powyżej wilgotności naturalnej, nawet powyżej 12%. Woda w całej swojej objętości w stosunkowo wąskich porach znajduje się w polu oddziaływania sił pochodzących bezpośrednio od ścianek – jest to przedział kapilarny od 0,5 do 0,0002 mm.

Rys. 3. Depresja kapilarna
W szerszych porach, tzw. nadkapilarnych, o średnicy powyżej 0,5 mm, woda może infiltrować z gruntu na skutek sił ciężkości, natomiast w porach subkapilarnych, poniżej 0,2 µm, woda jest związana i unieruchomiona na skutek działania sił międzycząsteczkowych. Zjawiska występujące na styku wody ze szkieletem budynku sprawiają, że zachodzi podciąganie wody do góry, wbrew ciśnieniu hydrostatycznemu. Powstające w kapilarach meniski, czyli zakrzywienia powierzchni wody w miejscu zetknięcia się cieczy z materiałem (rys. 1, 2), są efektem działania sił spójności między cząsteczkami wody oraz sił przylegania do materiału. W porowatych materiałach budowlanych powstaje zwykle menisk wklęsły i woda wznosi się ku górze do poziomu, na którym ciężar słupa wody zrówna się z siłą wytwarzaną przez napięcie powierzchniowe. Jeżeli ten sam dobrze zwilżalny materiał zostanie poddany hydrofobizacji (rys. 3), to woda pozostająca w kontakcie hydraulicznym z materiałem utworzy menisk wypukły. Siły przylegania będą słabsze od sił spójności i zjawisko podciągania kapilarnego zaniknie. Za te efekty jest odpowiedzialne również napięcie powierzchniowe.
Za sprawą działania wspomnianych już sił napięcia powierzchniowego woda w podatnych na zwilżanie kapilarach unosi się na pewną interesującą nas wysokość h. Najniższa energia układu woda-szkielet jest wówczas, gdy możliwie największa powierzchnia kapilar zostanie pokryta cienkim filmem wody. Pełzanie wody po ściance kapilary skutkuje zakrzywieniem jej powierzchni, a ciśnienie wody tuż pod meniskiem jest mniejsze od ciśnienia atmosferycznego o około 2σ/r.
Na zewnątrz kapilary ciśnienie atmosferyczne wynosi p-2σ/r, dlatego nadmiarowe ciśnienie zewnętrzne wypycha ciecz do góry do momentu osiągnięcia punktu równowagi hydrostatycznej.
Porównując ciężar słupa wody w okrągłej kapilarze Q = mg = Vρ g = πr2 hρg z siłą napięcia powierzchniowego wody przy ściance F = 2π • r • σ , można wyliczyć wysokość podciągania w pojedynczej kapilarze według wzoru (1)
(1)
gdzie: h – wysokość podciągania kapilarnego, σ – napięcie powierzchniowe wody, γ – kąt zwilżania, ρ – gęstość wody, rk – promień kapilary, g – przyspieszenie ziemskie.
Przeczytaj także: Zawilgocenie warstw termoizolacyjnych w dachach zielonych
Wykonanie na powierzchni kapilary powłoki hydrofobowej skutkuje odsunięciem się wody od ścianek. Jest to działanie sił spójności wody. Nie ma tu sił odpychających, jak to czasami jest błędnie interpretowane w przypadku występowania obniżenia kapilarnego lub depresji kapilarnej. Działają tylko większe od adhezji siły kohezji. Hydrofobizację kapilarno-porowatej struktury muru należy zaliczyć do skutecznych i sprawdzonych metod ochrony muru przed podciąganiem kapilarnym.
W praktyce budowlanej woda wypełniająca kapilary, podlegająca opisanym prawom fizycznym, nazywana wodą kapilarną, może pochodzić z różnych źródeł, co przedstawiono na rys. 4.

Rys. 4. Typowe źródła zawilgacania budynku: 1 – wody rozbryzgowe, 2 – woda błonkowa, 3 – woda kapilarna, 4 – woda gruntowa, 5 – woda infiltracyjna, 6 – bezpośrednie zawilgacanie wodą opadową, 7 – wilgoć higroskopijna: absorpcja, adsorpcja (sorpcja powierzchniowa, adsorpcja kondensacyjna, chemisorpcja), 8 – kondensacja powierzchniowa pary wodnej, 9 – kondensacja wgłębna, 10 – podtapianie (podnoszenie się WG powyżej poziomu posadzki), 11 – podciąganie kapilarne w murach przyziemia, 12 – kondensacja pary wodnej na instalacjach wod.-kan., 13 – zaleganie wód opadowych w studzienkach okiennych, 14 – awarie sieci wod.-kan., 15 – przebicie warstw wodonośnych podczas palowania, 16 – przecieki wód opadowych przez połać dachu, 17 – przecieki wód opadowych przez przewody kominowe, 18 – kondensacja pary na świetlikach dachowych, 19 – kondensacja pary wodnej na stolarce otworowej, 20 – zalania nadzwyczajne (powodziowe, woda gaśnicza)
Woda może napływać do muru z gruntu przyległego do ścian bocznych budynku oraz z jego podstawy, ale również z powierzchni źle wyprofilowanego tarasu, na którym zalegają wody opadowe. Na przykład nad poziomem gruntu w murze występuje woda kapilarna podciągana z przyległego gruntu, w którym zawartość wilgoci jest zmienna i zależy od intensywności opadów atmosferycznych, nasłonecznienia, wietrzności, ukształtowania i struktury przyległego terenu, obecności i stanu technicznego instalacji odwadniających (lub nawadniających), stanu zabezpieczeń przeciwwilgociowych, stanu tynków, zawartości rozpuszczalnych soli itd. Źródłem wody kapilarnej może być również kondensacja kapilarna zachodząca w wilgotności powietrza bliskiej stanowi nasycenia parą wodną. Zmiana chociażby jednego z wymienionych czynników istotnie wpływa na zmianę stanu zawilgocenia muru.
Na przykład bardzo lansowany w krajach Europy Zachodniej, znany również w Polsce, zabieg polegający na wymianie istniejących zasolonych tynków na porowate wyprawy magazynujące sole sprawi, że strefa wysychania cofnie się z powierzchni zewnętrznej w głąb i ściany będą powierzchniowo suche przez wiele lat, mimo transportu wilgoci nadal zachodzącego we wnętrzu muru. Oczywisty efekt cofnięcia się w nowym tynku strefy odsychania wilgoci w głąb muru jest znaczący, w komplecie więc można do tego efektu zawiesić jakieś pudełko i mamy niepodważalny dowód działania elektroosmozy bezprzewodowej.
Jednym z podstawowych parametrów charakteryzujących związek wilgoci z murem, najważniejszym w ocenie oddziaływania metod suszarniczych, jest energia wiązania wody, nazywana potencjałem absorpcyjnym. Energia wiązań kapilarnych wody z materiałem o różnych średnicach kapilar jest zmienna. W przypadku porów subkapilarnych o promieniu 0,1 µm wynosi np. 7,28 • 10-4 J/mol. Przyjmując, że 1 mol wody waży ok. 18 g, oraz uwzględniając inne rodzaje wiązań wilgoci z materiałem, a także sprawność procesu, można obliczyć ilość energii, jaką trzeba dostarczyć w celu uwolnienia wody kapilarnej od sił wiązania. Służące do tego i skutecznie stosowane w praktyce urządzenia mają moc liczoną w kilowatach. Należy mieć na względzie, że efekt suszarniczy zależy od sposobu dostarczania energii, a w przypadku promienników – od mocy i charakterystyki widma promieniowania. W sprzyjających warunkach pogodowych do suszonych pomieszczeń energia może być dostarczana również przez umożliwienie cyrkulacji powietrza z zewnątrz, czyli przewietrzanie, i ten sposób powinien być szczególnie zalecany w okresie letnim. Pojedyncza kapilara dobrze ilustruje zjawisko podciągania w mikroskali, więcej informacji praktycznych dostarcza jednak analiza w skali obejmującej cały ośrodek kapilarno-porowaty. Obecnie w literaturze światowej przeważa model transportu wody w murze oparty na nienasyconym przepływie wody podnoszonej z gruntu, na teorii tzw. wyraźnego frontu SF (ang. sharp front), w której pomija się występowanie rozmycia granicy między mokrymi a suchymi fragmentami muru. W znanej monografii Halla i Hoffa „Water Transport in Brick, Stone and Concrete” oraz w 1056 (!) omówionych w niej pozycjach literaturowych (co świadczy o doskonałym rozpoznaniu tematu) proces podciągania kapilarnego wody przebiega wg schematu przedstawionego na rys. 5.
Czytaj też: Autoklawizowany beton komórkowy – odporność na wilgoć

Rys. 5. Fizyczna interpretacja podciągania wilgoci w murze o grubości b stykającym się hydraulicznie z nasyconym podłożem gruntowym w przekroju AA'
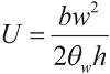
Woda jest wchłaniana z szybkością u na jednostkę szerokości ściany. Następnie woda wypełnia strukturę muru i zaczyna parować na jednej lub dwóch powierzchniach BB' z szybkością e. Wysokość zwilżonej powierzchni mierzona od punktu odniesienia na powierzchni gruntu wynosi h. Całkowity dopływ wilgoci U = bu zależy od nasiąkliwości kapilarnej ściany i zdolności parowania na powierzchniach bocznych (rys. 5). Mur ma grubość b i składa się z porowatego materiału o uśrednionej nasiąkliwości kapilarnej w ośrodków transportujących wodę (zaprawy, cegieł, gruzu itp.). Podnoszenie kapilarne wilgoci jest stanem równowagi między absorpcją kapilarną wzdłuż granicy AA’ i parowaniem powierzchni BB’. Można zatem przyjąć, że całkowita szybkość absorpcji kapilarnej wzdłuż AA wynosi U, natomiast całkowita szybkość parowania na powierzchniach BB’ wynosi E. Gdy wysokość wilgoci wzrastającej h ustabilizuje się przy pewnej wartości hss, mamy względnie stały stan, w którym U = E. Należy podkreślić, że nie jest to stan równowagi statycznej, w której nic się nie dzieje, ale jest to dynamiczny stan, w którym wnikanie wody jest zrównoważone przez parowanie. Zachodzi ciągły przepływ wody przez kapilarno-porowaty ośrodek Fss = Ess = ehss, gdzie e oznacza szybkość parowania na jednostkę powierzchni zwilżonej powierzchni. W warunkach rzeczywistych zmienny przepływ Fss jest jednym z istotnych czynników wpływających na trwałość obiektu w strefie podciągania kapilarnego. Podczas tego ciągłego procesu o zmiennym natężeniu, zależnym od źródła zasilania w wodę i warunków parowania, w kapilarno-porowatym ośrodku zachodzi stały wzrost koncentracji rozpuszczalnych soli.
Całkowita ilość wody magazynowanej w jednostkowej objętości muru wynosi Q = Θwbh, gdzie Θw jest uśrednioną wilgotnością zwilżonego obszaru ściany o wartości nieprzekraczającej porowatości f (w przypadku muru ceglanego wilgotność ta zawiera się w przedziale od 0,5 do 0,85 f). Bardzo istotne jest, czy parowanie występuje po jednej czy po obu stronach muru, na co wpływ ma stan wilgotnościowy środowiska oraz sposób wykończenia powierzchni – powłoki malarskie i ich stan, w tym szczególnie: olejne lamperie, boazerie, osłony ceramiczne, kamienne itd. Woda wnika do struktury zależnie od zdolności do absorpcji kapilarnej wody materiału, z którego jest wykonany element kontaktujący się z wilgotnym gruntem, co opisuje równanie:
i = wt1/2 (2)
gdzie: i – łączna objętość zaabsorbowanej wody (na jednostkę powierzchni pochłaniającej), w – nasiąkliwość kapilarna wody przez mur podczas kontaktu hydraulicznego z wodą, t – czas trwania procesu absorpcji.
Całkowity dopływ wilgoci U = bu dany jest wzorem:
(3)
gdzie: u – szybkość wchłaniania wody na jednostkę szerokości muru, b – szerokość muru, Θw – uśredniona wilgotność zwilżonego obszaru ściany.
Ponieważ i = Θwh, mamy:
(4)
Równanie (3) wskazuje, że szybkość U, przy której jest wchłaniana woda przez powierzchnię podstawy muru, jest odwrotnie proporcjonalna do wzrostu wysokości h.
Wyjaśnienia wymaga problem parowania wody z powierzchni bocznych muru. Wyniki badań własnych wskazują, że szybkość odparowywania wody z wilgotnych materiałów porowatych, i to w szerokim zakresie zawartości wody – od pełnego nasycenia do prawie suchego muru – zależy głównie od warunków środowiskowych. Podstawową rolę odgrywają tu zdolności suszarnicze lokalnego mikrośrodowiska, charakteryzowane wielkością e zależną od temperatury, wilgotności powietrza i szybkości przepływu powietrza przy powierzchni muru. Szybkość odparowania e ma więc główne znaczenie w ocenie zjawiska podciągania kapilarnego. W analizach technicznych wygodnie jest posługiwać się szybkością parowania na jednostkę długości muru wyrażoną wzorem:
E = eh (5)
gdzie: e – szybkość odparowania na jednostkę wysokości zwilżonej ściany, h – wysokość zwilżenia ściany.
Całkowita szybkość odparowywania E na jednostkę długości zależy od wysokości zwilżonej h oraz szybkości parowania (na jednostkę powierzchni) e kształtowanej przez rodzaj i stan powłok oraz stan wilgotnościowy środowiska otaczającego.
Polecamy też: Tynki na zawilgoconych przegrodach budowlanych
W pierwszej fazie następuje stabilizacja wilgoci, do momentu kiedy Uss = Ess. Indeks dolny ss oznacza osiągnięcie stanu przepływu stacjonarnego. Wykorzystując równania (3) i (4), można zapisać:
(6)
co prowadzi do uzyskania zależności określającej wysokość podciągania kapilarnego:
(7)
Z przedstawionego opisu teoretycznego wynikają konkretne wnioski praktyczne:
- Maksymalna wysokość podciągania wody gruntowej zależy ściśle od grubości muru oraz od położenia powierzchni zasilania hydraulicznego muru wodą (np. gruntową), jest zmienna w czasie i zależy od: poziomu zwierciadła wód gruntowych, budowy geologicznej (sprzyjającej odwadnianiu lub gromadzeniu się wód opadowych), ukształtowania i pokrycia przyległego terenu, intensywności opadów atmosferycznych powiązanych z porami roku.
- Obniżenie strefy zasilania spowoduje obniżenie podciągania kapilarnego.
- Należy zadbać o zachowanie warunków do swobodnego parowania wody już w jak najniższych strefach muru, zawsze jednak będzie zauważalna zależność parowania od ekspozycji powierzchni względem stron świata, a zatem również od nasłonecznienia, wietrzności, zacienienia. Wewnętrzne parowanie będzie natomiast zależało od warunków eksploatacyjnych (emisji wewnętrznej pary wodnej, sposobu wentylowania lub przewietrzania pomieszczeń, sposobu wykończenia powierzchni i wielu innych).

Fot. Stanowisko pomiarowe w klimatyzowanym Laboratorium Ochrony Budowli przed Wilgocią i Wodą Naporową UWM w Olsztynie do oceny skuteczności działania urządzeń osuszających przy zastosowaniu najnowszej generacji aparatury pomiarowej
Bardzo często strefa kontaktu hydraulicznego z wodą jest zlokalizowana już na poziomie opasek betonowych. Wykonanie drenażu opaskowego i płaszczyznowego w korzystnych warunkach gruntowo-wodnych spowoduje obniżenie strefy nawadniania, a zatem również wysokości podciągania kapilarnego.
W świetle ugruntowanej wiedzy naukowej wysokość podciągania kapilarnego wód gruntowych zależy głównie od warunków przejmowania wody z gruntu oraz zdolności parowania wody z ośrodka murowego. Długofalowo oddziałują również czynniki związane z zasoleniem, które inicjują zjawiska elektrokinetyczne. Elektroosmoza zachodząca pod wpływem przyłożonej różnicy potencjału elektrycznego może skutecznie obniżyć poziom podciągania kapilarnego. Warunkiem koniecznym istnienia zjawiska elektroosmozy jest bezpośrednie przyłożenie zasilanych prądem stałym elektrod umieszczonych w otworach wiertniczych wykonanych w murze oraz elektrod ułożonych w gruncie. Podłączenia muszą być wykonane zgodnie z zasadami zamkniętego obwodu elektrycznego umożliwiającego mieszany (ale głównie jonowy) przepływ prądu stałego. Pod wpływem wytworzonego pola elektrycznego powłoka jonowa w kapilarach, zawierająca ładunek dodatni, przesuwa się w kierunku spadku potencjału (do bieguna ujemnego), przy czym porywane są również cząstki wody. Powstaje więc transport ładunków elektrycznych, który jest równoznaczny z prądem elektrycznym, oraz przepływ cieczy w kierunku pola. Ten rodzaj transportu cząstek wody, nazywany elektroosmotycznym, jest potwierdzony naukowo i wykorzystywany w praktyce. Po kilkuletnich doświadczeniach w latach 80. ubiegłego wieku w wykonywaniu instalacji elektroosmotycznych wg koncepcji opracowanej przez doc. Jerzego Olfirowicza i z licznymi własnymi usprawnieniami autor może powiedzieć, że z powodu bardzo intensywnie zachodzących zjawisk elektrokorozyjnych wokół elektrod proces osuszania był dość szybko hamowany, metoda nie utrzymała się więc na rynku. Należy podkreślić, że elektroosmoza nie ma nic wspólnego z elektroosmozą bezprzewodową, chociaż niektóre „skrzynki” zasilane zewnętrznie mają czasami jedną elektrodę (która ma uwiarygadniać suszarnicze oddziaływanie na cały budynek).
W wielu ośrodkach naukowych są prowadzone zaawansowane badania nad różnymi technologiami bezkontaktowego osuszania budynków z wilgoci podciąganej kapilarnie z zastosowaniem pól mikrofalowych oraz IR. Takie badania, z wykorzystaniem murów modelowych, które wzniesiono specjalnie do tego typu ocen w okresie ostatnich 20 lat, są prowadzone również w Laboratorium Fizyki Budowli Instytutu Budownictwa na Uniwersytecie Warmińsko-Mazurskim w Olsztynie. W odróżnieniu od istniejących budynków, eksploatowanych w długim czasie, w murach modelowych istnieje możliwość jednoznacznego rozpoznania bilansu wilgoci pochodzącej z konkretnego źródła, np. z podciągania kapilarnego wody (bez trudnego do rozpoznania oddziaływania zmienności efektów suszarniczych spowodowanych opadami atmosferycznymi, temperaturą, wiatrem i wentylacją czy nasłonecznieniem). Wyniki badań sukcesywnie są weryfikowane i omawiane na konferencjach i kongresach fizyków budowli, zjawiska reklamowane jako bezprzewodowa elektroosmoza nie są jednak znane. Można niestety spotkać artykuły sygnowane przez osoby związane z pracą na uczelniach i mające nawet stopnie naukowe, które prawdopodobnie na podstawie materiałów przekazanych przez dostawców „elektroosmozy bezprzewodowej” publikują informacje sugerujące istnienie takich tajemniczych zjawisk, przeczących podstawowym prawom fizyki.

Rys. 6. Termogram wilgotnego muru
Czytaj też: Materiały hydroizolacyjne do iniekcji
Fantazja oferentów działających w obszarze „elektroosmozy bezprzewodowej” nie zna granic, są np. oferowane tajemnicze „zmienne w czasie impulsy”, „suszące wiry elektromagnetyczne” oraz sposoby „suszenia” zarówno „w dół”, jak i „w górę”, zalecane np. w stacjach metra (w zależności od potrzeb klientów). Ostatnio pojawiły się nawet urządzenia „sterowane” laptopem.
Nieustannie są więc prowadzone badania naukowe ukierunkowane na rozdzielanie prawdy od fałszu.
Pomiary z zastosowaniem sytemu detekcji promieniowania podczerwonego o rozdzielczości 17 mK, bezstykowy analizator wilgotności MCA 1410 oraz system pomiarowy ALBORN należą do najbardziej zaawansowanych technologicznie metod pomiarowych służących do ilościowych badań procesu transportu wilgoci.
Na termogramie (rys. 6) przedstawiono jeden z tysięcy stale rejestrowanych obrazów termalnych ilustrujących stan wilgotnościowy bez konieczności zbliżania się do badanego obiektu. Na rys. 7 zaprezentowano nieustannie generowaną analizę zachodzących zmian w podciąganiu kapilarnym wody stale uzupełnianej w uziemionych wannach, w których wzniesiono mury.
Prowadzone od lat pomiary nie wykazały występowania wpływu oddziaływania bezprzewodowych urządzeń na stan wilgotnościowy badanych murów. Proces wymiany wilgoci w modelowych ścianach przebiega bez zakłóceń, czyli wykazuje tendencje do stałego wzrostu podciągania kapilarnego.

Rys. 7. Wykres zmian zachodzących podczas podciągania wilgoci
Podsumowanie
Wykonując liczne ekspertyzy, autor zauważa, że można sformułować konkretną listę działań, które są wykorzystywane do uwiarygodniania działania „osuszaczy bez zasilania zewnętrznego”. Można tu wymienić:
- powstrzymanie infiltracji bocznej wód opadowych do muru z poziomu gruntu przez reprofilację przyległego terenu;
- usprawnienie wentylacji pomieszczeń wewnętrznych (wprowadzenie ciągłego przewietrzania, jeśli system wentylacyjny nie istnieje lub nie funkcjonuje poprawnie);
- wymianę zasolonych tynków i paroszczelnych powłok malarskich (lamperii);
- naprawę systemu odwodnienia dachu z odprowadzeniem wód opadowych poza strefę fundamentów;
- naprawę obróbek blacharskich parapetów, gzymsów, balkonów;
- usunięcie opasek betonowych i wykonanie opasek przeciwrozbryzgowych z otoczaków.
Wymienione działania powodują skuteczne osuszanie budynków, wielokrotnie jednak uzyskiwany efekt jest przypisywany rzekomemu oddziaływaniu bezprzewodowej elektroosmozy.
Autor wielokrotnie zwracał się do firm, które osuszają bezinwazyjnie, z prośbą o przeprowadzenie badań laboratoryjnych – jednak bezskutecznie. Słyszał również zastrzeżenie, że badane mury muszą mieć kontakt z ziemią. Ten warunek również został spełniony podczas badań. Jak dotąd jednak chętnych do badań wyznaczył jedynie sąd.
W imieniu Ogólnopolskiej Rady Naukowej Ochrony Budowli przed Wilgocią i Wodą Naporową zwracam się do koleżanek i kolegów inżynierów z prośbą o poprzedzanie ważnych decyzji wnikliwą analizą techniczną dokumentów potwierdzających skuteczność podejmowanych działań – wymaga tego prestiż naszego zawodu.
dr hab. inż. Robert Wójcik, prof. UWM
przewodniczący Ogólnopolskiej Rady Naukowej Ochrony Budowli przed Wilgocią i Wodą Naporową
Polecamy także: Efektywne osuszanie obiektów, ponowna izolacja termiczno-cieplna odporna na wilgoć i nowoczesne, tanie ogrzewanie




